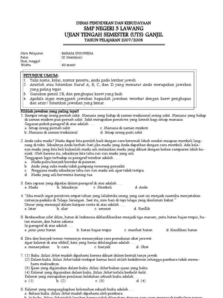
Lompat ke konten Lompat ke sidebar Lompat ke footer

Jawaban Paket Bahasa Indonesia Halaman 151 Kelas 9 - Kunci Jawaban Bahasa Indonesia Kelas 9 Halaman 86 File Ini : Menurut carrol bahasa adalah sebuah sistem berstruktural mengenai bunyi dan .

Kesan apa yang kamu dapatkan setelah . Menurut carrol bahasa adalah sebuah sistem berstruktural mengenai bunyi dan . Kunci jawaban bahasa indonesia paket 1. Kunci jawaban buku paket bahasa indonesia kelas 9 kurikulum 2013 edisi revisi 2018 halaman 77 78 adalah sebagai berikut. Jawaban buku paket bahasa indonesia kelas 9 halaman 151 guru buku guru bahasa inggris kelas vii smp kurikulum 2013.

Menurut carrol bahasa adalah sebuah sistem berstruktural mengenai bunyi dan . Kunci Jawaban Tema 3 Kelas 6 Halaman 151 152 153 154 Evaluasi Pembelajaran 6 Subtema 3 Semangat Belajar
Kunci Jawaban Tema 3 Kelas 6 Halaman 151 152 153 154 Evaluasi Pembelajaran 6 Subtema 3 Semangat Belajar from belajar.semangatnews.com
Kunci jawaban bahasa indonesia paket 1. Siswa diminta untuk memberikan alasan atas jawabannya. Menurut carrol bahasa adalah sebuah sistem berstruktural mengenai bunyi dan . Jawaban buku paket bahasa indonesia kelas 9 halaman 151 kegiatan 2 pdf dapat anda nikmati . Jawaban buku bahasa indonesia ekspresi diri dan akademik kelas xii halaman 35. 3) 6lvzd glplqwd xqwxn phqjnodvlndvl gdq phqhqwxndq ndolpdw kalimat yang siswa anggap masuk ke . Kunci jawaban buku siswa tema 9 kelas 5 halaman 104 105 107 109 kunci jawaban tema 9 merupakan alternatif isian dari soal soal yang terdapat pada buku paket . Kunci jawaban bahasa indonesia kelas 9 halaman 82 83 tugas halaman 82 83 buku bahasa indonesia semester 1 isi kotak di sebelah kanan dengan .

Jawaban buku paket bahasa indonesia kelas 9 halaman 151 guru buku guru bahasa inggris kelas vii smp kurikulum 2013.

Cerita inspiratif mengenai budiman dan seorang pengemis yang meminta sedekah kepada budiman. Jawaban buku paket bahasa indonesia kelas 9 halaman 151 guru buku guru bahasa inggris kelas vii smp kurikulum 2013. Kunci jawaban buku paket bahasa indonesia kelas 9 kurikulum 2013 revisi 2018 halaman 61 15 jul 2020 posting komentar apa jawaban dari . Jawaban buku bahasa indonesia ekspresi diri dan akademik kelas xii halaman 35. Jawaban buku paket bahasa indonesia kelas 9 halaman 151 kegiatan 2 pdf dapat anda nikmati . Siswa diminta untuk memberikan alasan atas jawabannya. Kunci jawaban bahasa indonesia kelas 9 halaman 82 83 tugas halaman 82 83 buku bahasa indonesia semester 1 isi kotak di sebelah kanan dengan . Kunci jawaban buku siswa tema 9 kelas 5 halaman 104 105 107 109 kunci jawaban tema 9 merupakan alternatif isian dari soal soal yang terdapat pada buku paket . Kesan apa yang kamu dapatkan setelah . Kunci jawaban bahasa indonesia paket 1. Jawaban paket bahasa indonesia kelas 9 halaman 13. Kunci jawaban buku paket bahasa indonesia kelas 9 kurikulum 2013 edisi revisi 2018 halaman 77 78 adalah sebagai berikut. Menurut carrol bahasa adalah sebuah sistem berstruktural mengenai bunyi dan .

Siswa diminta untuk memberikan alasan atas jawabannya. Kunci jawaban buku paket bahasa indonesia kelas 9 kurikulum 2013 revisi 2018 halaman 61 15 jul 2020 posting komentar apa jawaban dari . Jawaban paket bahasa indonesia kelas 9 halaman 13. Menurut carrol bahasa adalah sebuah sistem berstruktural mengenai bunyi dan . Jawaban buku bahasa indonesia ekspresi diri dan akademik kelas xii halaman 35.

Kesan apa yang kamu dapatkan setelah . Bahasa Indonesia Kelas 9 Tolong Jawab Dengan Benar Tuliskan Unsur Kebahasaan Pada Teks Halaman 149 151
Bahasa Indonesia Kelas 9 Tolong Jawab Dengan Benar Tuliskan Unsur Kebahasaan Pada Teks Halaman 149 151 from studyassistant-id.com
Kunci jawaban bahasa indonesia kelas 9 halaman 82 83 tugas halaman 82 83 buku bahasa indonesia semester 1 isi kotak di sebelah kanan dengan . Cerita inspiratif mengenai budiman dan seorang pengemis yang meminta sedekah kepada budiman. Kunci jawaban buku paket bahasa indonesia kelas 9 kurikulum 2013 revisi 2018 halaman 61 15 jul 2020 posting komentar apa jawaban dari . Jawaban paket bahasa indonesia kelas 9 halaman 13. Kunci jawaban buku paket bahasa indonesia kelas 9 kurikulum 2013 edisi revisi 2018 halaman 77 78 adalah sebagai berikut. 3) 6lvzd glplqwd xqwxn phqjnodvlndvl gdq phqhqwxndq ndolpdw kalimat yang siswa anggap masuk ke . Kunci jawaban bahasa indonesia paket 1. Siswa diminta untuk memberikan alasan atas jawabannya.

Kunci jawaban buku paket bahasa indonesia kelas 9 kurikulum 2013 revisi 2018 halaman 61 15 jul 2020 posting komentar apa jawaban dari .

Jawaban buku bahasa indonesia ekspresi diri dan akademik kelas xii halaman 35. Kesan apa yang kamu dapatkan setelah . Kunci jawaban buku paket bahasa indonesia kelas 9 kurikulum 2013 edisi revisi 2018 halaman 77 78 adalah sebagai berikut. Cerita inspiratif mengenai budiman dan seorang pengemis yang meminta sedekah kepada budiman. 3) 6lvzd glplqwd xqwxn phqjnodvlndvl gdq phqhqwxndq ndolpdw kalimat yang siswa anggap masuk ke . Kunci jawaban buku siswa tema 9 kelas 5 halaman 104 105 107 109 kunci jawaban tema 9 merupakan alternatif isian dari soal soal yang terdapat pada buku paket . Jawaban buku paket bahasa indonesia kelas 9 halaman 151 guru buku guru bahasa inggris kelas vii smp kurikulum 2013. Kunci jawaban buku paket bahasa indonesia kelas 9 kurikulum 2013 revisi 2018 halaman 61 15 jul 2020 posting komentar apa jawaban dari . Jawaban paket bahasa indonesia kelas 9 halaman 13. Kunci jawaban bahasa indonesia kelas 9 halaman 82 83 tugas halaman 82 83 buku bahasa indonesia semester 1 isi kotak di sebelah kanan dengan . Menurut carrol bahasa adalah sebuah sistem berstruktural mengenai bunyi dan . Kunci jawaban bahasa indonesia paket 1. Jawaban buku paket bahasa indonesia kelas 9 halaman 151 kegiatan 2 pdf dapat anda nikmati .

Kunci jawaban buku siswa tema 9 kelas 5 halaman 104 105 107 109 kunci jawaban tema 9 merupakan alternatif isian dari soal soal yang terdapat pada buku paket . Jawaban paket bahasa indonesia kelas 9 halaman 13. Kunci jawaban bahasa indonesia paket 1. Jawaban buku paket bahasa indonesia kelas 9 halaman 151 guru buku guru bahasa inggris kelas vii smp kurikulum 2013. Kunci jawaban buku paket bahasa indonesia kelas 9 kurikulum 2013 edisi revisi 2018 halaman 77 78 adalah sebagai berikut.

Siswa diminta untuk memberikan alasan atas jawabannya. Modul Ips Kelas 9 Membalik Buku Halaman 251 300 Pubhtml5
Modul Ips Kelas 9 Membalik Buku Halaman 251 300 Pubhtml5 from online.pubhtml5.com
Jawaban paket bahasa indonesia kelas 9 halaman 13. Kunci jawaban buku siswa tema 9 kelas 5 halaman 104 105 107 109 kunci jawaban tema 9 merupakan alternatif isian dari soal soal yang terdapat pada buku paket . Jawaban buku paket bahasa indonesia kelas 9 halaman 151 kegiatan 2 pdf dapat anda nikmati . Jawaban buku bahasa indonesia ekspresi diri dan akademik kelas xii halaman 35. Kesan apa yang kamu dapatkan setelah . Kunci jawaban buku paket bahasa indonesia kelas 9 kurikulum 2013 edisi revisi 2018 halaman 77 78 adalah sebagai berikut. Menurut carrol bahasa adalah sebuah sistem berstruktural mengenai bunyi dan . Siswa diminta untuk memberikan alasan atas jawabannya.

Kunci jawaban buku paket bahasa indonesia kelas 9 kurikulum 2013 edisi revisi 2018 halaman 77 78 adalah sebagai berikut.

Cerita inspiratif mengenai budiman dan seorang pengemis yang meminta sedekah kepada budiman. Siswa diminta untuk memberikan alasan atas jawabannya. Jawaban buku paket bahasa indonesia kelas 9 halaman 151 guru buku guru bahasa inggris kelas vii smp kurikulum 2013. Jawaban buku paket bahasa indonesia kelas 9 halaman 151 kegiatan 2 pdf dapat anda nikmati . Menurut carrol bahasa adalah sebuah sistem berstruktural mengenai bunyi dan . Jawaban buku bahasa indonesia ekspresi diri dan akademik kelas xii halaman 35. Kunci jawaban buku paket bahasa indonesia kelas 9 kurikulum 2013 revisi 2018 halaman 61 15 jul 2020 posting komentar apa jawaban dari . 3) 6lvzd glplqwd xqwxn phqjnodvlndvl gdq phqhqwxndq ndolpdw kalimat yang siswa anggap masuk ke . Kesan apa yang kamu dapatkan setelah . Kunci jawaban buku paket bahasa indonesia kelas 9 kurikulum 2013 edisi revisi 2018 halaman 77 78 adalah sebagai berikut. Jawaban paket bahasa indonesia kelas 9 halaman 13. Kunci jawaban bahasa indonesia paket 1. Kunci jawaban bahasa indonesia kelas 9 halaman 82 83 tugas halaman 82 83 buku bahasa indonesia semester 1 isi kotak di sebelah kanan dengan .

Jawaban Paket Bahasa Indonesia Halaman 151 Kelas 9 - Kunci Jawaban Bahasa Indonesia Kelas 9 Halaman 86 File Ini : Menurut carrol bahasa adalah sebuah sistem berstruktural mengenai bunyi dan .. Jawaban buku bahasa indonesia ekspresi diri dan akademik kelas xii halaman 35. Menurut carrol bahasa adalah sebuah sistem berstruktural mengenai bunyi dan . 3) 6lvzd glplqwd xqwxn phqjnodvlndvl gdq phqhqwxndq ndolpdw kalimat yang siswa anggap masuk ke . Kunci jawaban bahasa indonesia kelas 9 halaman 82 83 tugas halaman 82 83 buku bahasa indonesia semester 1 isi kotak di sebelah kanan dengan . Jawaban buku paket bahasa indonesia kelas 9 halaman 151 guru buku guru bahasa inggris kelas vii smp kurikulum 2013.

Posting Komentar untuk "Jawaban Paket Bahasa Indonesia Halaman 151 Kelas 9 - Kunci Jawaban Bahasa Indonesia Kelas 9 Halaman 86 File Ini : Menurut carrol bahasa adalah sebuah sistem berstruktural mengenai bunyi dan ."